안녕하세요 이번 포스팅은 바로
"깊이우선탐색-DFS(Depth First Search)"
입니다
그래프는 컴퓨터공학과의 경우 자료구조 시간에 배우게 되는데
이때 그래프의 탐색을 같이 배우게 됩니다.
탐색중에 가장 유명한 탐색은
깊이우선탐색인(DFS),너비우선탐색(BFS)입니다.
그래프(Graph)
그래프에 있어서 가장 유명한 것은 바로 konigsberg의 pregel강에 문제이다.
이 다리 문제는 임의의 지역에서 출발해서 모든 다리를 한번만 건너 처음 출발지역으로
돌아올 수 있는 지에 관한 문제였는데 스위스의 수학자 (오일러)Euler가 그래프를 이용해 풀었다.
이를 "오일러 행로"라고 한다.
그래프는 정점(Vertex)와 edge(간선) 두 가지 구성요소를 가지고 있습니다.
또한, 무방향성,방향성 두 가지 종류의 그래프가 있습니다.
- 무방향성 그래프 -
각 간선에 방향성이 존재하는 그래프입니다.
<u,v> : u -> v 간선을 표현합니다.
이 경우 u는 꼬리(tail)이고 v는 머리(head)이다.
- 방향성 그래프 -
vertex의 쌍을 나타내는 간선이 방향성이 없습니다.
(u,v),(v,u) : 동일한 간선을 표현합니다.
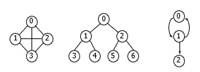
- 그래프 예 -

<1번 그림>
노드 : 0,1,2,3
간선 : (0,1),(0,2),(0,3),(1,2),(1,3),(2,3)
<2번 그림>
노드 : 0,1,2,3,4,5,6
간선 : (0,1),(0,2),(1,3),(1,4),(2,5),(2,6)
<3번 그림>
노드 : 0,1,2
간선 : <0,1>,<1,0>,<1,2>
- 그래프 표현 법 -
<인접행렬>

인접행렬의 경우
무방향성 그래프는 1번그림과 같이 대칭성을 보입니다.
반면에 방향성 그래프는 2번그림과 같이 비대칭성을 보입니다.
<인접리스트>

인접리스트의 경우
연결되는 vertex를 한 개의 연결 리스트로 표현합니다.
깊이우선탐색(DFS)
- 깊이우선탐색을 하는 방법 -
1. 출발 vertex에서 인접한 정점을 방문한다.
2. 방문한 정점 중에 방문하지 않은 정점을 w로 선택한다.
3. w를 출발 vertex로 바꾸고 다시 깊이우선탐색을 실시한다.
4. 1번 과정을 모든 정점을 방문할 때 까지 계속 반복한다.
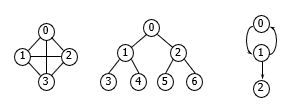
- 그래프 예제 -

결과 : V0, V1, V3, V7, V4, V5, V2, V6
- 소스코드 -
public class DFS {
public static void main(String args[]) {
int n, start, v, w, n2;
Scanner sc = new Scanner(System.in);
n = sc.nextInt(); // 정점의 개수
Node node = new Node(n);
n2 = sc.nextInt(); // 간선의 개수
for (int i = 0; i < n2; i++) {
v = sc.nextInt();
w = sc.nextInt();
node.put(v, w);
}
start = sc.nextInt();
node.dfs(start);
sc.close();
}
}
정점, 노드의 개수를 받아줍니다.
그리고, v,w를 노드의 개수만큼 받아줍니다.
이때 v는 출발 w는 도착입니다.
void put(int v, int w) {
list[v][w] = 1;
list[w][v] = 1;
}
put 함수에서 v,w를 입력받으면
v,w를 저장해줍니다. 이때 무방향성이기 때문에 w,v역시 저장합니다.
void dfs(int start) {
visit[start] = true;
System.out.print(start + " ");
for (int i = 0; i < visit.length; i++) {
if (list[start][i] == 1 && visit[i] != true) {
dfs(i);
}
}
}
정점에 방문했을 경우 방문한 정점을 true로 바꿔줍니다.
정점의 개수만큼 반복을 해주고
if 조건문을 통해 인접하고 방문하지 않은 정점을 다시 한번 더
함수로 돌려줍니다.
- 최종 소스코드 -
import java.util.Scanner;
public class DFS {
public static void main(String args[]) {
int n, start, v, w, n2;
Scanner sc = new Scanner(System.in);
n = sc.nextInt(); // 정점의 개수
Node node = new Node(n);
n2 = sc.nextInt(); // 간선의 개수
for (int i = 0; i < n2; i++) {
v = sc.nextInt();
w = sc.nextInt();
node.put(v, w);
}
start = sc.nextInt();
node.dfs(start);
sc.close();
}
}
class Node {
int list[][]; // v,w저장
boolean visit[]; //지나갔는 지 확인
Node(int n) {
this.list = new int[n][n];
this.visit = new boolean[n];
}
void put(int v, int w) {
list[v][w] = 1;
list[w][v] = 1;
}
void dfs(int start) {
visit[start] = true;
System.out.print(start + " ");
for (int i = 0; i < visit.length; i++) {
if (list[start][i] == 1 && visit[i] != true) {
dfs(i);
}
}
}
}
코드는 참고만 하시고 자신이 원하는 식의 코드르 작성하시면 됩니다.
이상으로 오늘은 그래프의 탐색인 DFS에 대해 알아보았습니다.
이해가 안되거나 궁금한 사항이 있으면 댓글로 남겨주시면 됩니다.
읽어주셔서 감사합니다.
'자바' 카테고리의 다른 글
| [자료구조] 자바 - 스택(Stack)이란? (0) | 2021.01.26 |
|---|---|
| (java)자바 너비우선탐색(BFS) (0) | 2021.01.15 |
| 백준 알고리즘 문제_1004번(자바) (0) | 2021.01.08 |
| 백준 알고리즘 문제_1003번(자바) - 시간초과 해결 (0) | 2021.01.06 |
| 백준 알고리즘 1002번(자바) (0) | 2021.01.04 |